上一版    下一版
   
网站首页 | 数字报首页 | 版面导航 | 系列报刊
  往期回顾:    高级检索   出版日期: 2025-02-28
2025-02-28 第14版:以案说法 大 |  中 |  小 

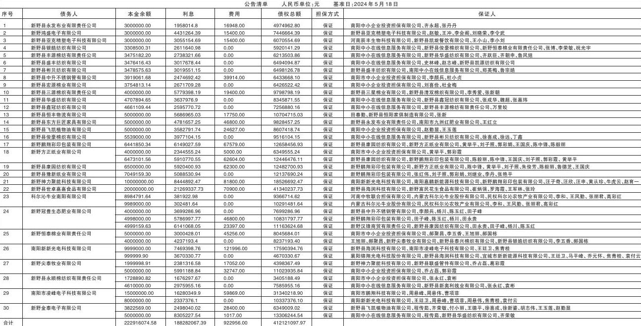
河南资产管理有限公司与新野县国控资产运营有限公司 债权转让通知暨债务催收联合公告(HNZCCS20250012)

作者: 来源:河南法治报 字数:801
    
    根据河南资产管理有限公司与新野县国控资产运营有限公司签署的《债权转让合同》(合同编号:【HNZC-业务(2025)012】),河南资产管理有限公司已将其对下列债务人及其担保人享有的主债权及担保合同项下的全部权利(具体债权情况最终以借据、合同、法院判决书、调解书、裁定书、相关部门产权登记等有关法律文书为准),依法转让给新野县国控资产运营有限公司。河南资产管理有限公司与新野县国控资产运营有限公司联合公告通知各债务人、担保人以及其他相关义务人。
    新野县国控资产运营有限公司作为上述债权的受让方,
现公告要求公告清单中所列包括但不限于借款人、担保人、其他相关义务人及其承债主体、清算主体等,从公告之日起立即向新野县国控资产运营有限公司履行主债权合同、担保合同及其他相关合同约定的偿付义务或相应的担保责任及其他责任等。
    特此公告。
    河南资产管理有限公司
    联系人:李先生 联系电话:17838360616
    联系地址:河南自贸试验区郑州片区(郑东)金融岛中环路21号    新野县国控资产运营有限公司
    联系人:樊先生 联系电话:15037736709
    联系地址:河南省南阳市新野县河园路金成标准化厂房A7号楼
                    河南资产管理有限公司
                    新野县国控资产运营有限公司
                        2025年2月28日
    注:1.本公告清单列示截至基准日的债权本金余额、利息余额、费用,基准日后债务人和担保人应支付的利息、违约金、相关费用等按照相关合同协议、生效法律文书及法律法规的规定计算。
    2.若债务人、担保人及其他相关义务人因各种原因更名、改制、歇业、吊销营业执照或丧失民事主体资格的,请相关承债主体及/或主管部门代为履行义务或履行清算责任。
    3.清单中的“担保人及其他义务人”包括但不限于抵押人、出质人、保证人、差补义务人等。
    4.本公告清单列示的金额由于计算方法等原因与实际金额可能存在较大误差,具体以相关合同协议及有效法律文书计算为准。
    5.本公告如有漏登、错登,以实际债权凭证为准。
 
地址:河南省郑州市郑汴路136号院
邮编:450004 电话:0371-86178060 传真: 0371-86178007
技术支持:北京有图互联科技股份有限公司
 
技术支持:北京有图互联科技股份有限公司